关于 WoC 的有的没的更新

关于 WoC 的有的没的更新

《从小做起》我创业奶牛的经历-2023年通过GPT3辅助完成 《从小做起》我创业奶牛的经历-2023年通过GPT3辅助完成

《从小做起》我创业奶牛的经历-2023年通过GPT3辅助完成

2024-02-23
It's ok to leave It's ok to leave

It's ok to leave

2024-02-23
2024 Me

2024 Me

Another personal summary - 2024
2025-01-19
痒点,卡点 和 利他主义优先的增长策略

痒点,卡点 和 利他主义优先的增长策略

2024-06-20
为什么要做一个和我曾经创业项目差不多的产品

为什么要做一个和我曾经创业项目差不多的产品

2024-04-06
《从小做起》我创业奶牛的经历-2023年通过GPT3辅助完成

《从小做起》我创业奶牛的经历-2023年通过GPT3辅助完成

2024-02-23
2023 个人…..

2023 个人…..

2024-02-23
My opinion about “Why failing the gaokao was the best thing that ever happened to me”

My opinion about “Why failing the gaokao was the best thing that ever happened to me”

2024-02-23
Classify Tweets with K-means algorithm and Pearson product-moment correlation coefficient in Java

Classify Tweets with K-means algorithm and Pearson product-moment correlation coefficient in Java

2024-02-23
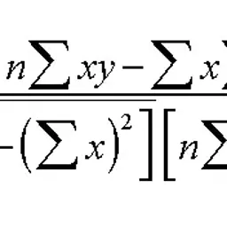
Pearson product-moment correlation coefficient in JAVA

Pearson product-moment correlation coefficient in JAVA

2024-02-23
Why Chinese people choose Alipay instead of apple pay

Why Chinese people choose Alipay instead of apple pay

2024-02-23
It's ok to leave

It's ok to leave

2024-02-23

关于 WoC 的有的没的更新

zhang.chen

woc.space 创始人

© 2025 关于 WoC 的有的没的更新 ・ ⚡ by Quaily